• 计算机视觉
  • 目录
  • 附录
  • FAQs
  • 考试入口
  • 成绩查询

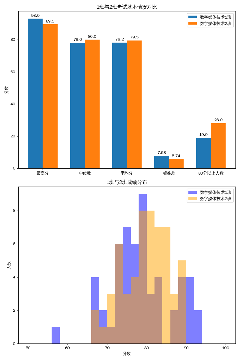
成绩概览:

Generated Chart

数字媒体技术1班:

最高分:93.0
中位数:78.0
平均分:78.2
标准差:7.68
80分以上人数:19

数字媒体技术2班:

最高分:89.5
中位数:80.0
平均分:79.5
标准差:5.74
80分以上人数:28

成绩查询:

数字媒体技术1班:

梁峻鸣 李宇桐 杨奕 卢淑薇 李敏 麦艺馨 李代结 叶仁杰 黄佩敏 黄榕 谭诗敏 梁杰铭 班予馨 吕伟成 黄秋靖 满志强 何依琳 苏宗贤 苏煜杰 杨正杰 杨庭铸 韦月 李丽珍 韦桂雪 胡红丽 周娜鑫 覃思图 曾琪棋 韦淑铃 陈东兰 覃诗婷 孙杰 方群英 陈太送 蒋毅源 杨丽新 李曙辉 谭天锦 梁倚萍 张晖晖 农佳佳 宁悦 黄瑶 兰金涛 蓝永义 刘春 杨颖 赖欣慧 林思彤 黎真伶 曾德丞 黄诗宁 徐柳倩 张文越 覃俊辉

数字媒体技术2班:

陈春秋 卢韦柳 李嘉怡 韦洪东 李兰雨 李怡萍 陶嘉敏 姚光城 丁九九 李凤梅 韦献华 韦子阳 蒋亚鹏 钟文颖 麦熙 刘敏 李安和 陈奕妍 李赵丽 梁金凤 黄健 占春燕 余武泽 黄凯明 王宝姗 覃雪伟 韦梢俸 梁富颖 黎芯妍 朱燕玲 莫思运 莫童阳 苏娅妃 黄依雯 马静文 杨昌杰 朱彦霏 李泓荣 孙海霞 江成凤 梁意凡 黄勇恩 杨诗晴 霍洁清 宋锡雄 蒋华炎 李庆瑶 卢晶晶 彭文慧 李楚兰 刘宇华 潘伊诺 周明露 蒋箫 黄欣然 黄焕英 周尹静

推荐书籍

这里准备了很多备受好评的书籍,快来看看本课程的推荐书籍吧。

今天也要加油鸭

Responsive image
© 2024 Company, Inc